Latent Entropy-General Relativity Part 2
Deriving Flat Rotation Curves in Spiral Galaxies (LE-GR)
Logarithmic Spirals as Entropy-Maximizing Structures
Logarithmic / Fibonacci spirals appear in dissipative structures across nature where:
The gradient is ideal
Dissipative structures evolve toward configurations that maximize entropy production (MEPP)
When to terminate scaling is not known ahead of time, so structure must be preserved at all scales
They are scale-invariant solutions to irreversible flow problems
The system needs to react to high information uncertainty, without collapse
Each instance uses different micro-mechanisms for novel needs, but the geometry repeats
Examples of dissipative log spirals:
Ram horns
Snail shell
Sunflower seed head (Fibonacci-discrete)
Tree branch (Fibbonaci-discrete)
The mechanism differs; the entropy logic does not.
What Entropy Production Means in a Spiral Galaxy
Entropy production in a spiral galaxy is not heat alone.
It includes:
gas cloud mixing
star formation
orbital confinement
angular-momentum redistribution
These processes suppress degrees of freedom and create latent entropy.
Spiral arms are therefore active entropy-sequestration channels, not decorative features.
Why Deriving Spiral Structure from Reversible Dynamics Is Misguided
Attempting to “derive” spiral arms from Hamiltonians or density waves alone misses the point.
Spiral structure is:
thresholded
history-dependent
non-ergodic
The correct principle is MEPP (Maximum Entropy Production Principle), not reversibility
The Second Law selects spiral geometry because it works, not because it is mandated by symmetry
Why Log Spirals Produce Flat Rotation Curves
Ontological chain:
→ A logarithmic spiral has the same shape at all scales.
This means:
each radial increment dr adds the same amount of spiral arc length
there is no preferred radius.
→ Constant arm thickness ⇒ constant area per radial increment
Assume the spiral arm has a roughly fixed physical thickness w
Because arc length added per radius is constant:
the area of spiral arm added per radial step is constant.
That means:
each radial shell contains the same amount of entropy-processing structure.
No tuning. Just geometry.
→ Uniform mixing ⇒ approximately uniform effective entropy-sequestration density along the arm
Spiral arms are mixing channels:
gas compression
star formation
angular-momentum redistribution
Flat rotation implies:
no preferred radius for dissipation
mixing efficiency is roughly radius-independent
Therefore:
latent entropy produced per radial increment is constant.
This is the key physical assumption — and it is empirically supported by observed flat velocity profiles.
→ latent entropy stored inside radius grows ∝ r
Putting the above together:
Same arc length per radius
Same arm thickness
Same effective mixing / sequestration rate
⇒ latent entropy produced inside radius r grows proportional to r.
This latent entropy is not matter — it is suppressed degrees of freedom stored in geometry.
→ curvature bookkeeping must track latent entropy (LE-GR axiom) and grows ∝ r
In LE-GR:
curvature is the bookkeeping record of latent entropy
Therefore:
total curvature contribution from spiral structure grows ∝ r
This is the additional gravitational influence — not baryonic mass.
→ How gravity transitions from 1/r² to 1/r
Ontological force picture:
Central baryonic mass still contributes:
g_center scales as inverse r squared
g₍center₎ ~ 1 / r²
Spiral-induced latent entropy contributes:
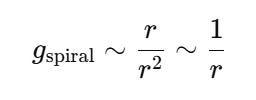
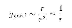
g_spiral ~ r / r² ~ 1 / r
g_spiral scales as r divided by r squared, which simplifies to inverse r
At large radii:
the 1/r term dominates
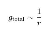
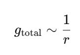
the total gravitational pull behaves as:
g_total ~ 1 / r (net scaling after geometric effects)
g_total scales as inverse r
→ Flat rotation emerges automatically
Orbital velocity depends on r⋅g(r)
If g(r)∼1/(r), then:
orbital velocity becomes radius-independent
Flat rotation curves are not fitted — they are forced.
→ Why no new matter is required
Nothing new is added:
no particles
no new inertia
no tuning of halo profiles
The effect comes entirely from:
geometry
entropy sequestration
irreversible mixing history
The spiral is doing the bookkeeping.
Because logarithmic spiral arms add a constant amount of entropy-sequestering structure per radial increment, the associated latent entropy — and therefore curvature bookkeeping — grows linearly with radius, converting the Newtonian 1/r² force into an effective 1/r law and producing flat rotation curves without additional matter.
Why the Center of Gravity Remains Central
Spiral arms typically occur in pairs or higher symmetries.
Their gravitational bookkeeping contributions cancel directionally.
Net center of gravity remains at the galactic core.
The effect modifies radial force, not barycentric position.
Why This Was Invisible in Classical GR
Classical GR:
treats curvature as sourced by stress–energy only
has no variable for suppressed DOF
cannot distinguish entropy stored vs entropy released
As a result:
spiral-induced curvature looks like “extra mass”
flat rotation curves require dark matter by assumption
In LE-GR, the spiral geometry is the bookkeeping mechanism.
Adaptive Galaxy Size and Velocity Under MEPP
Like all dissipative structures, spiral galaxies are not fixed solutions but adaptive ones.
Their size, arm pitch, and characteristic orbital velocity adjust continuously in response to available gradients.
MEPP does not prescribe a unique scale.
Instead, it selects configurations that:
maximize entropy production
while remaining dynamically stable
Crucially, flat rotation curves are preserved across this family of solutions because scale invariance of the logarithmic spiral maintains constant latent-entropy accumulation per radial increment, independent of absolute size.
Baryonic Tully — Fischer Relation
Observed Relation
Spiral galaxies obey a remarkably tight scaling linking total baryonic mass to asymptotic rotational velocity, with vanishing intrinsic scatter across orders of magnitude in scale.
Baryonic mass scales as the fourth power of rotation velocity in spiral galaxies.
M_baryonic ∝ v⁴
Why this is ontologically difficult, not mathematically difficult:
The challenge is not deriving v⁴ from equations, but explaining why a dynamical quantity (v) and a material quantity (Mb) are locked so precisely despite radically different formation histories, environments, and merger paths.
How LE-GR arrives at BTFR
Quantity → Interpretation → Origin
v² (in v² / r) → Inertial requirement → Kinematics
v² (in K) → Entropy-processing capacity → Irreversibility
One v² term will come from kinematics, the other v² from latent entropy curvature strength K
Step 1 — Kinematic requirement (effective enclosed mass)
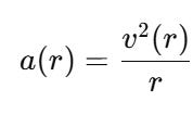
For circular motion at radius r, the required centripetal acceleration is
Radial acceleration at radius r equals velocity squared at r divided by r.
a(r) = v(r)² / r
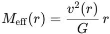
Representing the gravitational field by an effective enclosed mass Meff(r), Newtonian kinematics gives
a(r) = G · M_eff(r) / r²
Radial acceleration at radius r equals G times the effective enclosed mass at r, divided by r squared.
Equating these yields the standard kinematic relation
M_eff(r) = v(r)² · r / G
The effective enclosed mass at radius r equals velocity squared at r times r, divided by G.
For flat rotation curves v(r) ≈const, this implies Meff(r) ∝ r : the inferred enclosed “source” grows linearly with radius.
Step 2 — LE-GR postulate (entropy-processing capacity scales with v²).
In spiral galaxies, the additional gravitational bookkeeping term K must scale with kinetic energy flux ( ∝ v² ), because latent entropy sequestration in density-wave structures is driven by the energetic cost of maintaining irreversible orbital confinement; this introduces a second v² factor beyond kinematics.
In other words, the strength of extra gravity/phase state collapse sourced from Mb must correlate with the kinetic energy that can thermalize and produce chaotic DOF, thereby destroying the dissipative structure. MEPP ensures the rate of dissipation does not destroy the structure itself, whether too fast or too slow.
M_eff ∝ K ∝ v_KE²
Effective mass scales with kinetic energy capacity K, which scales with velocity squared.

Radial scaling note (scale invariance): In spiral disks with approximately flat rotation, both the inferred effective enclosed mass and the latent entropy sequestration capacity scale linearly with radius:
M_eff(r) ∝ r (kinematic requirement: M_eff(r) = v² · r / G for v ≈ const)
The effective enclosed mass grows linearly with radius. For an approximately constant rotation velocity, the kinematic requirement is M_eff(r) = v² r / G.
K(r) ∝ r
K(r) ∝ r (kinetic-energy capacity increases linearly with radius)

Therefore the bookkeeping identification is consistent shell-by-shell:
M_eff(r) ∝ K(r) ∝ r
The effective enclosed mass tracks the kinetic-energy capacity, and both increase linearly with radius.
Step 3 —Calculate
√K ∝ v_KE
√K ∝ v_kin²(Substituting the kinematically required velocity, treated as a constant)
K ∝ v_kin⁴
(Squaring both sides)
M_b ∝ M_eff ∝ K ∝ v_kin⁴
(Substituting relations)
Therefore:
M_b ∝ v_kin⁴
Why ΛCDM fails structurally:
Additive-mass problem:
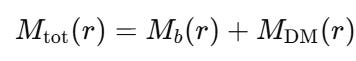
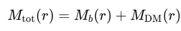
In ΛCDM the dynamical mass is
The total enclosed mass at radius r is the sum of the baryonic mass and the dark-matter mass at that radius.
M_tot(r) = M_b(r) + M_DM(r)
but there is no mechanism forcing Mdm to scale deterministically with Mb; independent halo assembly histories should introduce large scatter in any Mb-v relation.
Assembly-history variance:
Dark-matter halos form through stochastic mergers, tidal stripping, and accretion, processes that vary strongly across environments; ΛCDM therefore predicts significant galaxy-to-galaxy scatter in rotation velocities at fixed Mb, contrary to the observed tightness of the BTFR.
Feedback fine-tuning problem:
To suppress scatter, ΛCDM must invoke finely tuned baryonic feedback (star formation, supernovae, AGN) that somehow “reshapes” halos to track baryons with percent-level precision — despite operating through chaotic, thresholded, and environment-dependent processes.
Radial coupling failure:
The BTFR holds using asymptotic velocities at large radii, where baryons are dynamically subdominant in ΛCDM; any baryon–halo coupling would need to operate nonlocally and coherently across the disk, for which no physical mechanism exists.
No entropy or geometry constraint:
ΛCDM lacks an entropy-accounting or geometric principle that would lock halo structure to spiral morphology or dissipation history, so the observed universality and low scatter of the BTFR remain unexplained rather than derived.
How MOND “cheated,” and why it breaks elsewhere:
MOND hard-codes an effective 1/r force law to force flat rotation curves, which algebraically produces v⁴, but:
introduces a universal acceleration scale by fiat
provides no entropy, geometry, or formation-history mechanism
and fails in clusters and non-spiral systems where dissipative structure is absent or degraded
The tight BTFR correlation is therefore unexplained and unstable under mergers, feedback, and halo assembly variance.
Why the BTFR Changes in Spiral Galaxy Clusters (LE-GR)
BTFR is a property of single, coherent dissipative structures.
The baryonic Tully–Fisher relation emerges when a spiral galaxy acts as a unified entropy-processing system: scale-invariant geometry, coherent rotation, and localized latent-entropy sequestration within spiral arms enforce a tight Mb ∝ v⁴ scaling.
Clusters are not single dissipative structures.
A galaxy cluster is a meta-system composed of many partially coupled spirals, ellipticals, and diffuse gas, each with its own entropy history, collapse history, and curvature bookkeeping. The cluster does not share a single spiral geometry or unified dissipation channel.
Latent entropy bookkeeping becomes nonlocal.
In clusters, a significant fraction of latent entropy is stored:
in inter-galactic orbital confinement
in tidal heating and stripping
in intracluster gas and filamentary flows,
rather than within any individual spiral disk.
As a result, the curvature contribution affecting a given galaxy is no longer sourced solely by its own baryons.
Predicted consequence (LE-GR):
The BTFR should:
remain tight for isolated spirals
show increased scatter in dense environments
and systematically deviate in clusters where latent entropy is shared across scales
Why this is expected, not a problem.
LE-GR does not claim BTFR is a universal law of gravity; it is a regime-dependent consequence of spiral geometry and localized entropy sequestration. When that regime breaks — through strong tidal coupling or hierarchical embedding — the relation must weaken.
Why ΛCDM has no story here.
In ΛCDM:
dark matter halos are additive and collisionless
clusters simply contain “more dark matter,”
yet the BTFR partially survives in spirals inside clusters.There is no mechanism explaining why the relation weakens gradually rather than catastrophically — or why it correlates with environment at all.
Key LE-GR prediction:
Deviations from BTFR should correlate with:
local tidal field strength
cluster-centric radius
degree of spiral coherence
not with total dark mass or halo concentration
Latent Entropy Debt vs. Dark-Matter Discrepancy
Correlation with Galaxy Morphology and Phase-Space Collapse History (LE-GR)
Core LE-GR Claim
Apparent dark-matter discrepancies are not universal; they are the geometric bookkeeping signature of latent entropy debt, accumulated through irreversible phase-space collapse.
Therefore, the magnitude and distribution of “DM effects” must correlate with:
collapse depth
merger history
loss of reversible degrees of freedom
and whether entropy sequestration is local or nonlocal
Why This Correlation Is Mandatory in LE-GR
Latent entropy only accumulates through irreversible processes.
Major mergers, violent relaxation, tidal stripping, and orbital randomization permanently suppress DOF and must be tracked geometrically as curvature.Different morphologies encode different entropy histories.
Galaxy shape is not cosmetic — it is the fossil record of phase-space collapse.Dark-matter phenomenology is therefore diagnostic, not fundamental.
LE-GR predicts where discrepancies appear, how large they are, and why they differ by morphology.Morphology → collapse → entropy → discrepancy → BTFR
Globular clusters
Minimal early collapse
→ Negligible entropy bookkeeping
→ No dark-matter discrepancy
→ BTFR: N/AIrregular galaxies
Incoherent / transient collapse
→ Weak, unstable entropy bookkeeping
→ Inconsistent mass discrepancy
→ BTFR: WeakIsolated spirals
Coherent rotational collapse
→ Localized entropy bookkeeping (spiral arms)
→ Moderate, tight mass discrepancy
→ BTFR: StrongBarred / disturbed spirals
Partial disruption of rotation
→ Mixed entropy bookkeeping
→ Elevated scatter in mass discrepancy
→ BTFR: WeakenedLenticular (S0)
Exhausted spiral collapse
→ Delocalized entropy bookkeeping
→ Large mass discrepancy
→ BTFR: BrokenEllipticals
Violent merger history
→ Kinematic (dispersion-dominated) bookkeeping
→ Very large mass discrepancy
→ BTFR: AbsentGroups
Multi-body collapse
→ Nonlocal entropy bookkeeping
→ Huge mass discrepancy
→ BTFR: N/AClusters
Extreme hierarchical collapse
→ Fully nonlocal entropy bookkeeping
→ Maximal mass discrepancy
→ BTFR: N/A
Morphology–Entropy–Discrepancy Table (LE-GR)
What ΛCDM Would Expect (and Fails to See)
In ΛCDM:
dark matter is collisionless and additive
halo mass is largely independent of baryonic morphology
merger history should increase scatter randomly
Observed reality:
DM discrepancies correlate strongly with:
morphology
environment
rotational coherence
and merger history
This correlation is not predicted by ΛCDM — it is patched post hoc.
LE-GR Prediction (Strong, Falsifiable)
Galaxies with:
cleaner spiral structure
quieter collapse histories
and intact phase-space channels
will show minimal scatter and BTFR adherence
Systems with:
disrupted geometry
repeated mergers
and large irreversible phase-space loss
will show larger, environment-dependent discrepancies
No free parameters are required beyond entropy bookkeeping.
Bullet Cluster / Cluster Lensing
What is observed:
In violent cluster mergers (e.g. Bullet Cluster–type systems), gravitational lensing peaks are spatially offset from the baryonic plasma traced by X-ray emission.
ΛCDM interpretation:
Because hot gas is collisional while lensing tracks collisionless behavior, gravity is inferred to be sourced by an invisible, collisionless dark-matter component that passes through unimpeded.
LE-GR reinterpretation (key point):
Lensing traces latent entropy debt, not matter.
In violent mergers, the dominant irreversible process is phase-space collapse of orbital degrees of freedom, not gas compression.
Why the offset is expected in LE-GR:
During a high-velocity merger:
baryonic gas shocks, heats, and releases entropy
while orbital configurations undergo rapid irreversible suppression, creating latent entropy
Curvature bookkeeping follows the latter, not the former.
Latent entropy is non-collisional by nature:
Suppressed degrees of freedom do not scatter, thermalize, or shock.
Therefore, the curvature signature propagates with the collisionless components (galaxies + orbital structure), producing the observed offset.
No new substance required:
LE-GR explains the lensing–baryon separation without:
invoking invisible particles
assuming collisionless matter
or modifying inertia.
The offset is a geometric memory of irreversible collapse.
Why this is not a special case:
LE-GR predicts that the more violent and irreversible the merger, the stronger the lensing–baryon offset should be — exactly where ΛCDM most heavily relies on dark matter as an explanation.
In LE-GR, cluster lensing traces latent entropy generated by irreversible orbital collapse during mergers, so separation from collisional gas is expected — and does not imply invisible matter.


















